
















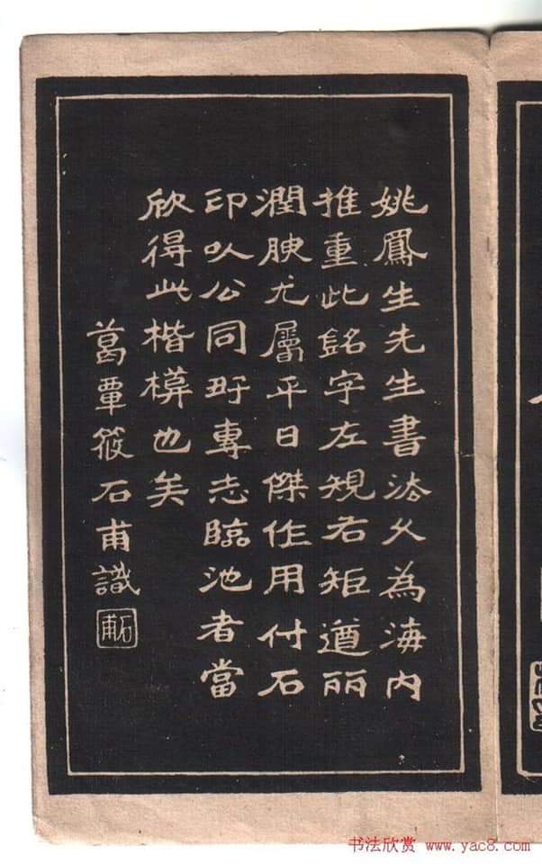
당나라 때 유우석刘禹锡이 쓴 것으로 전해지는 짤막한 글 《누실명陋室铭》을 청나라 때 서예가 요맹기姚孟起가 해서체로 쓴 것을 핀터레스트에서 발견했다. 글씨 참 잘 썼다. 요맹기는 당나라 때 대 서예가 구양순 필체를 가장 닮은 사람으로 손꼽힌다고 한다.
젊었을 때 전서체와 초서체를 공부하지 않은 것을 몹시 후회한다. 나이 들어 하려니 잘 안 돼서 포기했다. 그래서 잘 쓴 해서체를 만나면 매우 반갑다.
《누실명陋室铭》 유우석刘禹锡
산이 유명한가 여부는 높은지 여부에 달려 있지 않다.
신선이 있으면 유명해진다.
물이 영험한가 여부는 깊은지 여부에 달려 있지 않다.
용이 살면 영험해진다.
내 방 비록 누추해도,
내 덕으로 향기롭다.
계단따라 이끼 초록으로 차오르고,
주렴까지 풀빛 푸르르게 들어온다.
담소를 나누는 사람들 내로라하는 학자요,
이곳에 오가는 사람 중 평범한 사람 없도다.
자연의 소리 현악기 연주 삼아,
경전을 읽는 재미도 쏠쏠하다.
현악기 관악기 오케스트라가 귀를 어지럽히는 일도 없고,
기획서 보고서 공문서 때문에 이몸 혹사시키는 일도 없다.
제갈량이 살았다는 남양의 초가집과 같고,
양자운이 다녔다는 사천의 정자와도 같다.
“(군자 사는 곳이) 누추할 게 뭐 있는가”라고 공자도 말하지 않았던가!
山不在高,有仙则名。水不在深,有龙则灵。
斯是陋室,惟吾德馨。
苔痕上阶绿,草色入帘青。
谈笑有鸿儒,往来无白丁。
可以调素琴,阅金经。
无丝竹之乱耳,无案牍之劳形。
南阳诸葛庐,西蜀子云亭。
孔子云:何陋之有?
***
이상은 순천향대 중문과 팔보 홍승직 교수 글이다. 요맹기는 현대에서 가까운 청나라 때 서화가임에도 생몰년이 알려지지 않았다. 字를 풍생凤生이라 하고, 풍생凤笙이라고도 썼으니, 지금의 강소江苏 소주苏州인 오현吴县 공생贡生이었다. 正书로 이름이 높았으니 그의 글씨는 구양순欧阳询을 모범으로 삼아 구성궁예천명九成宫醴泉铭을 잘 썼다. 예서隶书는 대략 진홍수陈鸿寿를 모방했다. 겸하여 印에도 일가를 이루어 장인수蒋仁秀를 본받았다.
유우석刘禹锡(772~842)은 당대를 대표하는 시인 중 한 명으로, 하남河南 낙양洛阳 사람으로 字를 몽득梦得이라 했다. 중당中唐을 수놓은 기라성 일원으로 일찍이 태자빈객太子宾客을 지낸 까닭에 유빈객刘宾客이라 부르는 일이 많다. 만년에 검교예부상서检校礼部尚书, 비서감秘书监 등을 지낸 까닭에 비서유상서秘书刘尚书라고도 한다.
생몰년에서 보듯이 그는 한유 유종원 백거이 원진과 같은 시대를 호흡했다. 특히 왕숙문王叔文이 주도한 개혁쿠데타에 유종원과 함께 주요 인물로 참여해 잠깐 잘 나가갔다가 이후 폭망해서 유배를 전전했다.
'역사문화 이모저모' 카테고리의 다른 글
| Maritime trading between Champa and ancient states in Asia (0) | 2021.01.10 |
|---|---|
| 김유신, 인국隣國을 난亂한 자者 (0) | 2021.01.10 |
| 돈 많은 과부에의 로망 (0) | 2021.01.07 |
| 금은옥金銀玉, 장신구에서 해방해야! (0) | 2021.01.05 |
| 심심해 죽을 지경인 능참봉 (0) | 2021.01.04 |
댓글